Пожалуйста, помогите решить, срочно нужнооо, хотя бы что-нибудь!
Зарание спасибо))
Если кто-то будет пробовать решать, но не дойдет до ответа, присылайте мысли хоть какие-нибудь, пожалуйста...
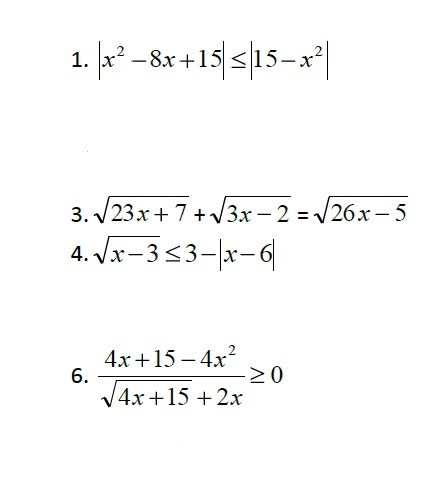
номер 3.
ОДЗ: 23х+7>=0
3x-2>=0
26x-5>=0 таким образом х>=2/3
Возведём обе части в квадрав=т и получим
3х-2+23х+7+ 2*кв. корень из(23х+7)(3х-2)=26х+5
Упростим м получим (23х+7)(3х-2)=0
(23х+7)=0 или (3х-2)=0
х=-7/23 ( не является корнем так как не принадлежит одз) х=2/3
Ответ х=2/3
номер 4.
одз
4х+15>=0
корень из( 4х+15)+2х не равно нулю и получим х>=-3.75 при х не равном2,5 и х=-1,5
Решаем неравенство 4х^2-4х-15<=0
Отмечаем на числовой оси одз и множество решений неравенства и получаем промежуток, который явлется ответом
(-1.5;2.5)Автор:
muffinqkbf3.Я пыталась решать но ответ не получается. Я начала решать возведение обеих частей в квадрат а потом через дикриминант просто расписывать долго.
Автор:
giselleolsonДобавить свой ответ
Разабрать слова по составу: Учащиеся и Заречный
Предмет:
Русский языкАвтор:
patrickymcintoshОтветов:
Смотреть
Першого дня учень прочитав 1/2 всіеі книжки,другого дня-вдвічі менше , після чого йому залишилося прочитати ще 30 сторінок. Скільки сторінок у книжці? ПОЖАЛУЙСТА СРОЧНО!!!
Предмет:
МатематикаАвтор:
jaidyn50Ответов:
Смотреть
длина прямоугольного параллелепипеда,равная 3,6 дм,в 2 раза больше ширины и в 2 раза меньше его высоты.Найдите ширину и высоту параллелепипеда и вычислите площадь его основания.
Предмет:
МатематикаАвтор:
monteroОтветов:
Смотреть
Ребят, помогите решить, меня на теме не было-болела(( 1/cos^2x+3tgx-5=0 указать корни на отрезке [0;пи]
Предмет:
АлгебраАвтор:
maddoxnfp3Ответов:
Смотреть