• Найдите решение системы: текст вставлен....помогите плиз!

    question img

Ответы 2

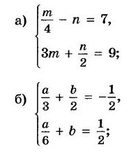
  • A)

    m/4-n=7

    3m+n/2=9

    m/8-n/2=3.5

    3m+m/8=12.5

    24m+m=100

    25m=100

    m=4

    n=1-7=-6

     

    B)

    a/3+b/2=-1/2

    a/6+b=1/2

    -a/3-2b=-1

    -2b+b/2=-1.5

    -4b+b=-3

    -3b=-3

    b=1

    a=-3

    • Автор:

      eleinhiu1
    • 6 лет назад
    • 0
  • a)  m/4  - n =7  (1)

      3m+  n/2 = 9  (2)

     

    (1):    m/4  - n =7      m-4n=28    ->m=28+4n

    (2):    3m+  n/2 = 9     6m+n=18 

    ПОдставляем значение m в (2):

    6(28+4n)+n=18

    168+24n+n=18

    25n = -150

    n= -6

     

    n= -6;  m=4

     

     

    б) a/3  + b/2  = -1/2  (1)

       a/6  + b  = 1/2     (2)

    (1):  a/3  + b/2  = -1/2      2a+3b=-1/3

     (2):  a/6  + b  = 1/2      a+6b=1/3   -> a=1/3 - 6b

    Подставим a в (1):

    2(1/3 - 6b) +3b= -1/3

    2/3 - 12b +3b = -1/3

    -9b = -1

    b=1/9

     

    b=1/9 ;  a=-1/3

     

     

  • Добавить свой ответ

Войти через Google

или

Забыли пароль?

У меня нет аккаунта, я хочу Зарегистрироваться

How much to ban the user?
1 hour 1 day 100 years