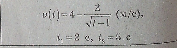
• точка движется вдоль прямой со скоростью V= (t) . найдите путь, который пройдет точка в промежуток времени (t₁;t₂), если:

    question img

Ответы 1

  • S(t)=F(v)=4t-4√t-1=S(5)-S(2)=20-4*2-8+4=20-8-8+4=8
    • Автор:

      bentley38
    • 6 лет назад
    • 0
  • Добавить свой ответ

Еще вопросы

Войти через Google

или

Забыли пароль?

У меня нет аккаунта, я хочу Зарегистрироваться

How much to ban the user?
1 hour 1 day 100 years