• Будьте  добры,помогите!
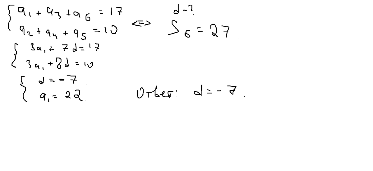
    сумма первого ,третьего и шестого членов арифметической прогрессии равна 17, а сумма второго ,четвертого и пятого членов равна 10.определите разность прогрессии

Ответы 1

  • ................................
    answer img
  • Добавить свой ответ

Войти через Google

или

Забыли пароль?

У меня нет аккаунта, я хочу Зарегистрироваться

How much to ban the user?
1 hour 1 day 100 years