• Вибрать правильное утверждение:

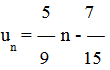
    А) последовательность, n-й член которой вычисляется по формуле (рис.) имеет отрицательные члены;
    Б) геометрическая прогрессия со знаменателем 0,5* √ 3 бесконечно убывающая;
    В) в конечной арифметической прогрессии сумма членов с нечетными номерами равна сумме членов с четными номерами;
    Г) геометрическая прогрессия 3; 27; .... содержит член 3^100.

    Ответ аргументировать

    question img

Ответы 1

  • А) последовательность, n-й член которой вычисляется по формуле (рис.) имеет отрицательные члены; нет не имеет1-й 5/9-7/15=25/45-21/45=4/45>0Б) геометрическая прогрессия со знаменателем 0,5* √ 3 бесконечно убывающая;q>1 возрастающая В) в конечной арифметической прогрессии сумма членов с нечетными номерами равна сумме членов с четными номерами; нет может быть может нет может быть 10 членов может 11Г) геометрическая прогрессия 3; 27; .... содержит член 3^100.b1=3^1q=3^2члены только с нечетной степенью тройки999------------------нет ни одного
    • Автор:

      maddox64
    • 6 лет назад
    • 0
  • Добавить свой ответ

Войти через Google

или

Забыли пароль?

У меня нет аккаунта, я хочу Зарегистрироваться

How much to ban the user?
1 hour 1 day 100 years