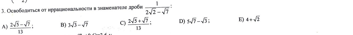
• Освободиться от иррациональности в знаменателе дроби 

    question img

Ответы 1

  • нужно всю дробь  И знаменатель И числитель. умножить на то число (ну тот корень) который в знаменателе в общем: 1 делить на корень из двух равно корень из двух делить на два
  • Добавить свой ответ

Войти через Google

или

Забыли пароль?

У меня нет аккаунта, я хочу Зарегистрироваться

How much to ban the user?
1 hour 1 day 100 years