• Ребят, срочно помогите ПЖЛ!!!!!!! Надо решить способом подстановки.

    question img

Ответы 1

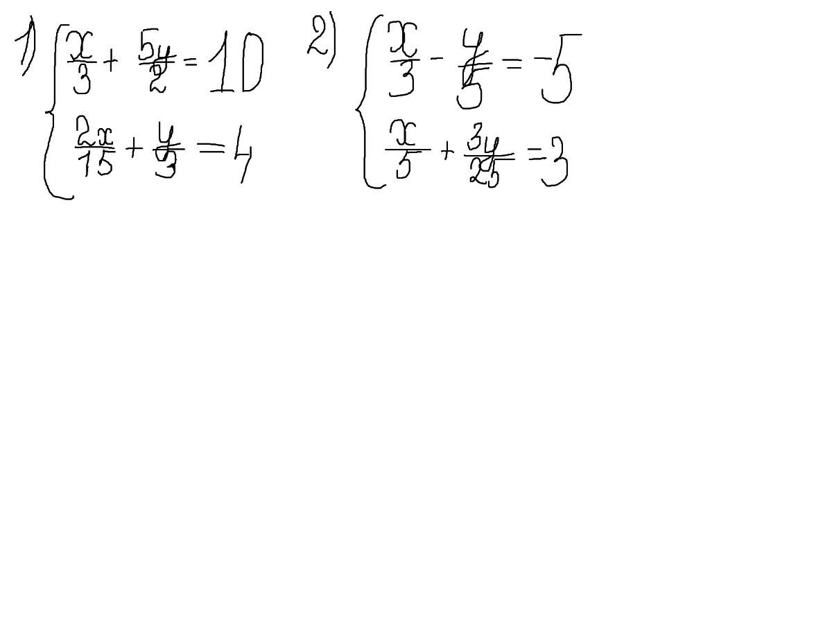
  • 1).  1/3x=10-5/2yx=(10-5/2y)*3x=30-15/2y2/15*30-2/15*15/2y+y/3=44-y+y/3=4-2/3y=0y=0x=30-0x=30Проверка30/3+15*0/2=1010=102)1/3x=y/5-5x=(y/5-5)*3(3/5y-15)*1/5+3/25y=36/25y=6y=25x=(25/5-5)*3x=0Проверка0/3-25/5=-5-5=-5
    • Автор:

      freeway
    • 6 лет назад
    • 0
  • Добавить свой ответ

Войти через Google

или

Забыли пароль?

У меня нет аккаунта, я хочу Зарегистрироваться

How much to ban the user?
1 hour 1 day 100 years