•  РЕБЯТА, помогите пожалуйста! Пожалуйста с полным решением., Распишите пожалуйста.

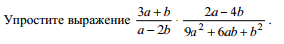
    question img

Ответы 1

  • 3a+b *     2(2a-b)         =  22a-b     (3a+b)(3a+b)      3a+b
    • Автор:

      barker
    • 6 лет назад
    • 0
  • Добавить свой ответ

Еще вопросы

Войти через Google

или

Забыли пароль?

У меня нет аккаунта, я хочу Зарегистрироваться

How much to ban the user?
1 hour 1 day 100 years