Системаааа
помогите
решить
спасибо
файл внутри
не проходите мимо
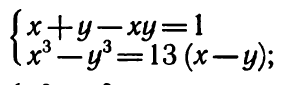
Корни (1;1) (1;3) (1;-4) (3;1) (-4;1) Решение в файле
Автор:
gabriellaf60eДобавить свой ответ
Вычислите:
1)25(в степени 3/2)-0,25
2)7(в степени 5х+6)=49
Упростите:
1)3cos(во 2 степени)х + 3sin(во 2 степени)х - 6
Решите уравнение:
1)cos2x=-1/2
2)sin2x*tgx+1=3sinx
помогите решить задачу.
в треугольнике ВАС угол А=80(градусов)
угол С= 50(градусов)
докажите,что биссектриса АМ угла ВАD,смежного с углом А треугольника,параллельна ВС
Найдите значение выражения:
(6sin27° * cos27°)/sin54°
(18sin40° * cos40°)/sin80°
Вычислите: 30cos33∘/sin57∘
Диагональ осевого сечения цилиндра равна 26 см, высота цилиндры равны 24 см. Вычислите площадь цилиндра.