Помогите решить систему
после выпускного ничего не могу решить аахахах
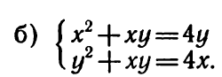
Вычитаем:
x²+xy=4y
y²+xy=4x
____________
x²-y²=4y-4x
(x-y)(x+y)=4(y-x)
(x-y)(x+y)-4(y-x)=0
(x-y)(x+y)+4(x-y)=0
(x-y)(x+y+4)=0
Новая система:
x-y=0
x+y=4
x=y
Подставляем во второе уравнение:
y+y=4
2y=4
y=2
x=2
Ответ:(2;2)
Автор:
buffiericeДобавить свой ответ
При сгорании 36 г органического соединения оброзовалось 52,8 г оксида углерода (IV) и 21,6 воды.Относительно молекулярная масса этого вещества равна 180.Выведите молекулярную формулу этого вещества.
Предмет:
ХимияАвтор:
valentínhubbardОтветов:
Смотреть
Предмет:
МатематикаАвтор:
lambertОтветов:
Смотреть
Помогите решить систему
после выпускного ничего не могу решить аахахах
Предмет:
АлгебраАвтор:
ernesttlmyОтветов:
Смотреть
Что то застрял с решение Sin(12x)*cos(4x)-sin(9x)*cos(7x)=0
Решить уравнение
Перенес син9х*кос7х вправо, восапользовался формулой, а потом не вижу ничего