Помогите пожалуйста =)...............................................................
Предмет:
АлгебраАвтор:
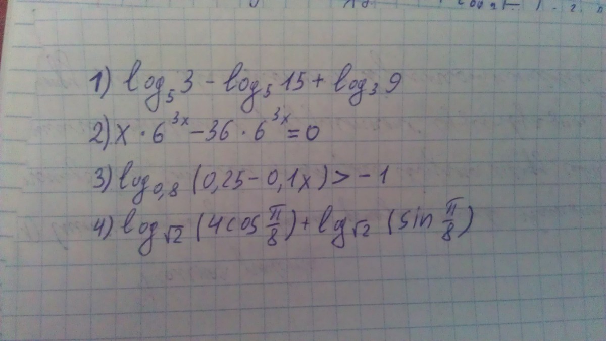
napoleonorr1) =-1+2=1
2) 6^3x(x-36)=0
x=36
3)0,25-0,1x<5/4
x>-10
4)=log(sqrt(2))(4cosП/8sinП/8)=log(sqrt(2))(2sinП/4)=log(sqrt(2))(sqrt(2))=1
Автор:
ozmccallДобавить свой ответ
Нужны интересные факты о простых и составных числах.Через 1 час у меня школа .СРОЧНО
Предмет:
МатематикаАвтор:
dahliagzc2Ответов:
Смотреть
Предмет:
Русский языкАвтор:
maximilian378Ответов:
Смотреть
present simple or present continuos
1.choose the correct form of the verb.
a.where tom?
he has is havinq a bath.
b. do you want an ice -cream?
no, thanks. i don eat am not eatinq ice - cream.
c. we can play tennis because it rains is raininq.
d. i am not understandinq don understand what you are sayinq.
e.what do you do are you doinq toniqht?
Предмет:
Английский языкАвтор:
rascali6g4Ответов:
Смотреть
Срочно нужны интересные факты о простых и составных числах
Предмет:
МатематикаАвтор:
pirateawwkОтветов:
Смотреть