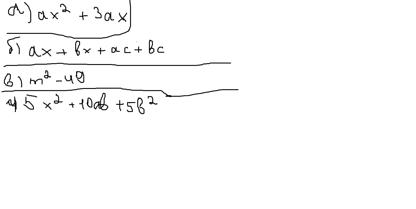
=ах(х+3)=ах+ас+bх+bс=a(x+c)+b(x+c)=(a+b)(x+c)=m^2-7^2=(m-7)(m+7)=5(a^2+2ab+b^2)=5(a+b)^2
Автор:
nicomedesДобавить свой ответ
Предмет:
МатематикаАвтор:
braxton697Ответов:
Смотреть
4.Подумайте,к каким историческим источникам чаще всего обращаются ученые,если изучают войну или восстание,хозяйство или положение различных слоев насиления????
как сформулировать правило -имена людей, клички животных, название городов и рек?
Предмет:
Русский языкАвтор:
jordynlyj7Ответов:
Смотреть
как написать в транскрипции слова:клен,статья,ягода,полет,въехал
Предмет:
Русский языкАвтор:
bellbottoms2eoeОтветов:
Смотреть