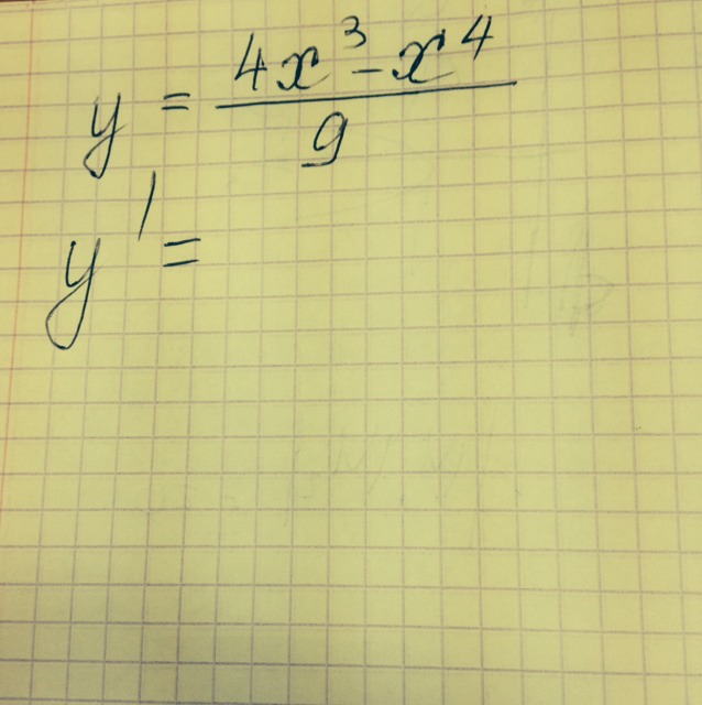
• Найти производную
    Решите целиком плз срочно!

    question img

Ответы 2

  • Ответ во вложении. Удачи! Дальше сократить нельзя!
    answer img
    • Автор:

      zoey82
    • 6 лет назад
    • 0
  • y' =  \frac{1}{9} *(4*3* x^{2}  - 4* x^{3}) =  \frac{ 4x^{2}*(3-x) }{9}
    answer img
    • Автор:

      cowboy
    • 6 лет назад
    • 0
  • Добавить свой ответ

Войти через Google

или

Забыли пароль?

У меня нет аккаунта, я хочу Зарегистрироваться

How much to ban the user?
1 hour 1 day 100 years