• Плиз, немогу посчитать, получается другой результат, киньте правильное решение плиз

    question img

Ответы 1

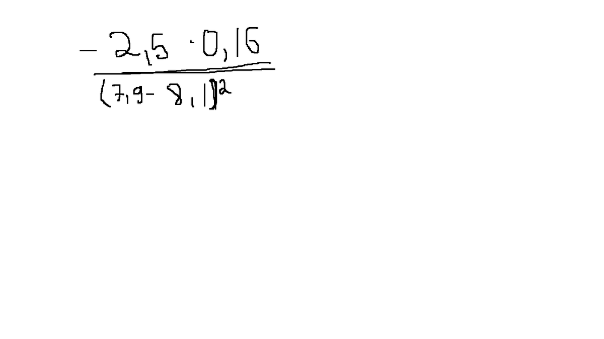
  • Можно проще со знаменателем))) -\frac{2,5*0,16}{(7,9-8,1)^2} = \frac{-0,4}{0,04}=-10
  • Добавить свой ответ

Еще вопросы

Войти через Google

или

Забыли пароль?

У меня нет аккаунта, я хочу Зарегистрироваться

How much to ban the user?
1 hour 1 day 100 years