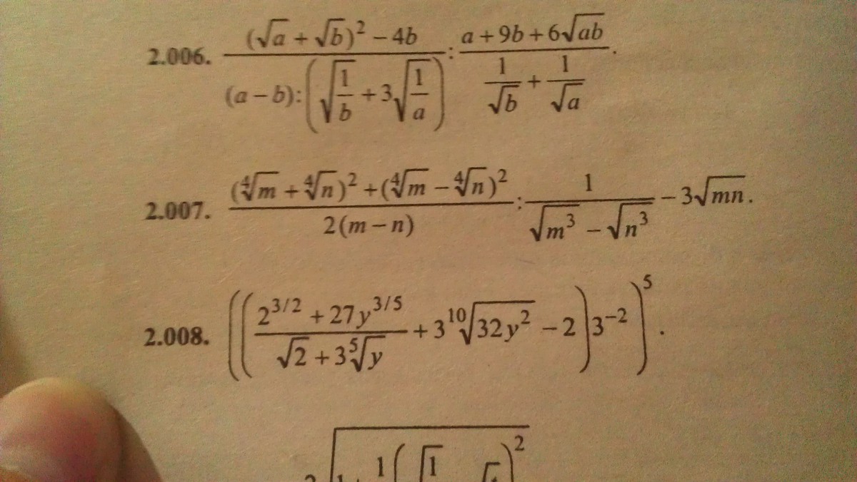
• пожалуйста решите 2.006 номер...
    Ответ будет 1/аb

    question img

Ответы 1

  • ((√a+√b-2√b)(√a+√b+2√b)/(√a-√b)(√a+√b)) *(√a+3√b)/√ab) *(√a+√b)/√ab)(√a+3√b)²==(√a-√b)(√a+3√b)(√a+3√b)(√a+√b)/(√a-√b)(√a+√b)√ab(√a+3√b)²√ab=1/ab
    • Автор:

      aryn28
    • 6 лет назад
    • 0
  • Добавить свой ответ

Еще вопросы

Войти через Google

или

Забыли пароль?

У меня нет аккаунта, я хочу Зарегистрироваться

How much to ban the user?
1 hour 1 day 100 years