• Помогите, плж. Я выводила х, просто пыталась посчитать, но выходит какая-то несуразная фигня.. вот вам для проверки правильный ответ: 14.
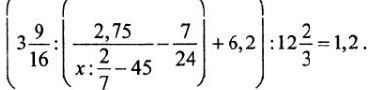
    Найти х, если:

    question img

Ответы 4

  • (2.75/x...-7/24)=3 9/16:9 - вот с этого момента. как так получилось перенести в другую сторону с делением, то есть, получается, что : (2.75/x...-7/24)=3 9/16*9
  • 3) 57/16:9=57/144 - девятка разве не с минусом идет? или если в другую сторону переносить, то 57/16*9
  • правило 3 класса, чтобы найти делитель нужно делисмое разделить на частное
    • Автор:

      shelton
    • 6 лет назад
    • 0
  • (3 9/16:(......)+6.2)=1.2*12 2/3(3 9/16:(......)+6.2)=12/10*38/3(3 9/16:(......)+6.2)=76/53 9/16:(......)=76/5-6.23 9/16:(......)=76/5-31/53 9/16:(......)=45/5=9(2.75/x...-7/24)=3 9/16:9(2.75/x...-7/24)=57/16:9=19/482.75/(x:2/7-45)=19/48+7/242.75/(x:2/7-45)=19/48+14/28=33/48=11/16x:2/7-45=2.75:11/16x:2/7-45=55/20*16/11=4x:2/7=4+45x:2/7=49x=49*2/7x=14
    • Автор:

      gerardo
    • 6 лет назад
    • 0
  • Добавить свой ответ

Еще вопросы

Войти через Google

или

Забыли пароль?

У меня нет аккаунта, я хочу Зарегистрироваться

How much to ban the user?
1 hour 1 day 100 years