• Очень легкое задание на лимит....так хочется спать, что смотрю в книгу и ничего не вижу(((Последнее задание осталось

    question img

Ответы 3

  • Оно действительно не сложное, просто объемное.
  • Уровень сложности задачи индивидуален. Одним одно легко, другим - другое, третьим все трудно.... а кому-то и просто лень.
    • Автор:

      violasg72
    • 6 лет назад
    • 0
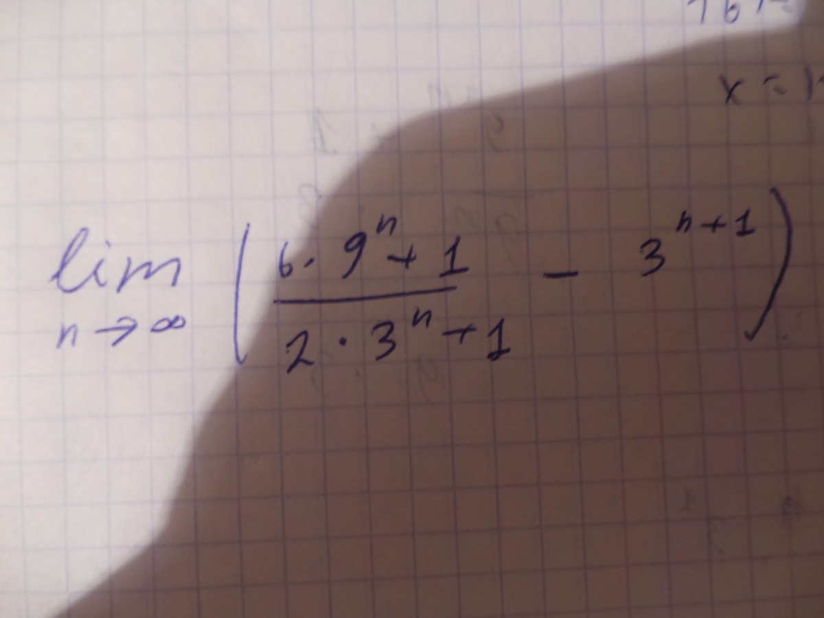
  • L= \lim_{n \to \infty} ( \frac{6*9^n+1}{2*3^n+1}-3^{n+1})=\lim_{n \to \infty} ( \frac{2*3^{2n+1}+1}{2*3^n+1}-3^{n+1})= \\  \lim_{n \to \infty} \frac{2*3^{2n+1}+1-2*3^{2n+1}-3^{n+1}}{2*3^n+1}=\lim_{n \to \infty} \frac{1-3^{n+1}}{2*3^n+1}= \\ \lim_{n \to \infty} \frac{1}{2*3^n+1}-\lim_{n \to \infty} \frac{3^{n+1}}{2*3^n+1}=L_1-L_2; \\ L_1=\lim_{n \to \infty} \frac{1}{2*3^n+1}= \frac{1}{\lim_{n \to \infty} (2*3^n+1} =\frac{1}{2*\lim_{n \to \infty} (3^n)+1} = \frac{1}{\infty}=0; L_2=\lim_{n \to \infty} \frac{3^{n+1}}{2*3^n+1}=\lim_{n \to \infty} \frac{3*3^n}{2*3^n+1}=3*\lim_{n \to \infty} \frac{3^n}{2*3^n+1}= \\ 3*\lim_{n \to \infty} \frac{1}{2+3^{-n}}= \frac{3}{ \lim_{n \to \infty} 2+3^{-n}}= \frac{3}{2+ \lim_{n \to \infty} 3^{-n}}= \frac{3}{2+0}= \frac{3}{2}; \\ L=L_1-L_2=0- \frac{3}{2}=- \frac{3}{2}
    • Автор:

      buds
    • 6 лет назад
    • 0
  • Добавить свой ответ

Войти через Google

или

Забыли пароль?

У меня нет аккаунта, я хочу Зарегистрироваться

How much to ban the user?
1 hour 1 day 100 years