• Помоги решить неравенство
    Заранее спасибо!

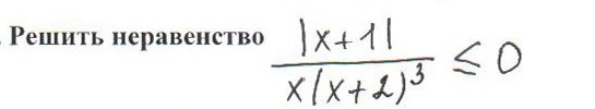
    question img

Ответы 2

  • Спасибо большое)
    • Автор:

      junior72
    • 6 лет назад
    • 0
  • Модуль, стоящий в числителе, всегда положителен и равен нулю при х = -1.Следовательно, данное неравенство равносильно неравенству х*(х + 2)^3<0.Его решением является промежуток (-2; 0), границы не входят, так как обращают в нуль знаменатель.Заметим, что х = -1 входит в этот промежуток и не исключается из него, так как знак неравенства нестрогий.Ответ: (-2; 0)
  • Добавить свой ответ

Войти через Google

или

Забыли пароль?

У меня нет аккаунта, я хочу Зарегистрироваться

How much to ban the user?
1 hour 1 day 100 years