отрицательная степень. помогите решить и объяснить сам принцип решения, пожалуйстааа
Предмет:
АлгебраАвтор:
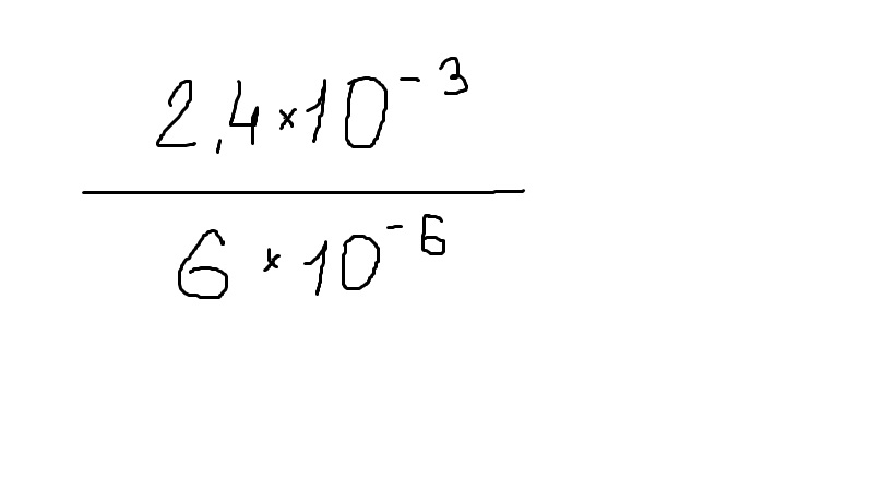
string bean10^-3=1\10^3
10^-6=1\10^6
2.4*10^6\6*10^3=2.4*10^3\6=2400\6=400
Автор:
jeffersonfarrellДобавить свой ответ
Предмет:
Русский языкАвтор:
jasesalasОтветов:
Смотреть
Предмет:
МатематикаАвтор:
nash36Ответов:
Смотреть
Длины сторон треугольника 2,5дм,30см,120мм.Выразите их в метрах и найдите периметр треугольника.
Предмет:
МатематикаАвтор:
mcculloughОтветов:
Смотреть
Квадратное уравнение:
x^2-x+20=0
Предмет:
АлгебраАвтор:
mombodkirpОтветов:
Смотреть