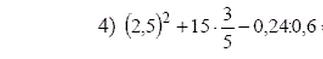
• Указать порядок выполнения действия и вычислить.

    question img

Ответы 6

  • Не правильно,ответ должен быть 14.85, в конце учебника именно такой ответ!
  • мда,считать не умеем что-ли?
    • Автор:

      wolfie
    • 6 лет назад
    • 0
  • Да понятно же что легкий, у меня в книге наверное опечатка, а так ответ не сходился) Спасибо
    • Автор:

      carson37
    • 6 лет назад
    • 0
  • всегда пожалуйста)
  • 13,75+9-0,4=22,35Действия стоят по порядку...
  • 1)2,5х 2,5= 6,25(т.к. там в квадрате,значит умножаем это число на это же число)2) 15/5(дробь) х 3= 93)0,24:0,6= 0,44) 6,25 + 9= 15,255) 15,25- 0,4=14,85Ответ:14,85Надеюсь,сам расставишь действия,ибо тут понятно и так.И да,пример легкий;)
  • Добавить свой ответ

Войти через Google

или

Забыли пароль?

У меня нет аккаунта, я хочу Зарегистрироваться

How much to ban the user?
1 hour 1 day 100 years