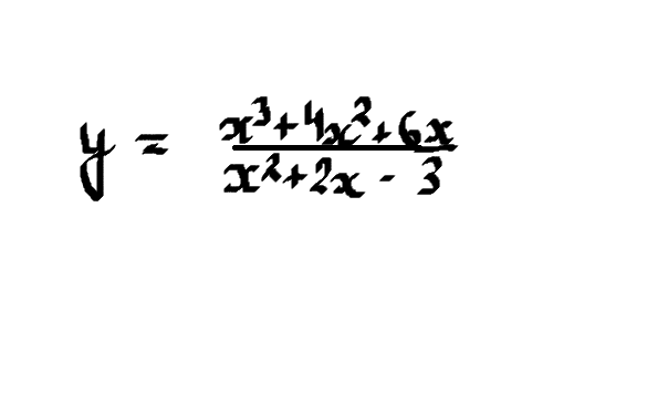
Используя метод интервалов,найдите промежутки знакопостоянства функции:
Предмет:
АлгебраАвтор:
calliegsupx^2+2x-3=0
D=1+3=4
x1=-1-2=-3
x2=-1+2=1
x^2+2x-3=(x+3)(x-1)
1) x+3≠0 2)x-1≠0
x^3+4x^2+6x=0
x(x^2+4x+6)=0
x=0
x^2+4x+6=0
D=4-6=-2;
строим прямую, на которой отмечаем точки 0, -3, 1, где -3 и 1 выколоты
берем любое число от + бесконечности до 1 подставляем в ур-е
промежуток положительный
так же делаем с другими 3мя промежутками.
ответ: (-беск; -3) отриц
(-3; 0] полож
(0; -1) отриц
(-1; +беск) полож
Автор:
anabelleДобавить свой ответ
Придумайте задачу по выражению: а) 120+65*2 б) 168-43*2 в) 15*4+12*4
Предмет:
МатематикаАвтор:
aaronfzsjОтветов:
Смотреть
найти НОК (50, 110,175) ПОЖАЛУЙСТА, объясните!
Предмет:
МатематикаАвтор:
mischieftannerОтветов:
Смотреть
Крестьянским хозяйством заготовлено корма на 184 дня для 75 коров. На сколько дней хватит этого корма, если увеличить поголовье на 40 коров?
Предмет:
МатематикаАвтор:
alonso6ujrОтветов:
Смотреть
Как вы понимаете выражение -скажи мне , что ты ешь, и я скажу, кто ты есть?
Предмет:
ИсторияАвтор:
ashantiirwinОтветов:
Смотреть