1.Упростите выражение (см. вложение)
2.Расположите на числовой прямой (см.вложение)
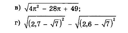
1. в) 4П^2 -28П+49=(2П-7)^2 выносим из под корня и получаем просто 2П-7.
г) просто выносим из под корня получается 2,7-корень из 7 -2,6 +корень из 7...корни сокращаются получается 0,1.
Автор:
ceceliaqxtbДобавить свой ответ
1). Решите неравенство: 5/6-x<2/3
2). Решите уравнение: x^3=4x^2+5x
Предмет:
ФизикаАвтор:
dragonflyouprОтветов:
Смотреть
Периметр треугольника 78 см одна сторона 15 см другая в 2 раза больше.Чему равна третья сторона?
Предмет:
МатематикаАвтор:
rileybqm2Ответов:
Смотреть
мише на день рождения подарили несколько разноцветных шаров, причём красных шаров среди них было 45%. После того как Миша отдал один синий и один зелёный шар, красных шаров у Мише стало 50 %. Сколько шаров подариле Мише на день рождения?
Предмет:
МатематикаАвтор:
cassiusgeieОтветов:
Смотреть