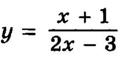
• Для заданной функции найдите обратную
    функцию:

    question img

Ответы 1

  • для того, чтобы найти функцию обратной данной, надо х выразить через у:2ху-3у = х+12ху-х=1+3ух(2у-1)=1+3УХ= (1+3У) \ (2У-1)ИЛИ У = (1+3Х)\ (2У-1) - ПОЛУЧИЛИ ФУНКЦИЮ  ОБРАТНУЮ  ДАННОЙ
  • Добавить свой ответ

Войти через Google

или

Забыли пароль?

У меня нет аккаунта, я хочу Зарегистрироваться

How much to ban the user?
1 hour 1 day 100 years