Решить алгебру.Помогите пожалуйста.
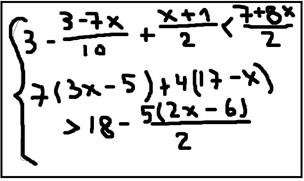
Найдите наименьшее целое число удовлетворяющее системе неравенств.ПОЖАЛУЙСТА ПОМОГИТЕ.
Предмет:
АлгебраАвтор:
bruceclarke...................................................
Автор:
mohamed39Добавить свой ответ
какая программа и почему способствовала модернизации россии в 20 веке
помогите решить. Отношение двух чисел равно 2:3. если к первому числу прибавить 10, то их отношение будет равно 4:5. найдите эти числа.
Предмет:
МатематикаАвтор:
franklin87Ответов:
Смотреть
сочинение на тему субботний вечер у нас дома, пожалуйста очень нужно.
Предмет:
Русский языкАвтор:
lucascarterОтветов:
Смотреть