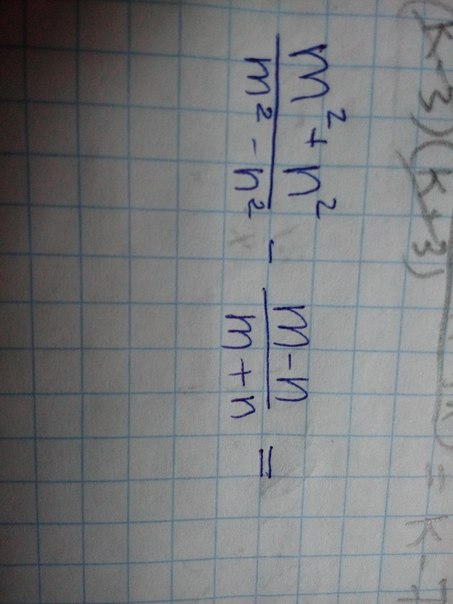
• 8 класс. сложение и вычитание алгебраических дробей. пооожалуйста с решением

    question img

Ответы 5

  • спасибо огроомное
    • Автор:

      valencia
    • 6 лет назад
    • 0
  • спасиииибо большое
    • Автор:

      drew800
    • 6 лет назад
    • 0
  • не за что)))
    • Автор:

      riggs8577
    • 6 лет назад
    • 0
  • (m² + n²) \ (m-n)(m+n)  - (m-n)\(m+n) = (m²+n² - (m-n)²  ) \ (m-n)(m+n)=(m²+n² - m²+2mn-n²) \ (m²-n²)=2mn \ ( m²-n²)
    • Автор:

      savage27
    • 6 лет назад
    • 0
  • Нужно просто использовать формулу разности квадратов
    answer img
    • Автор:

      facundo
    • 6 лет назад
    • 0
  • Добавить свой ответ

Еще вопросы

Войти через Google

или

Забыли пароль?

У меня нет аккаунта, я хочу Зарегистрироваться

How much to ban the user?
1 hour 1 day 100 years