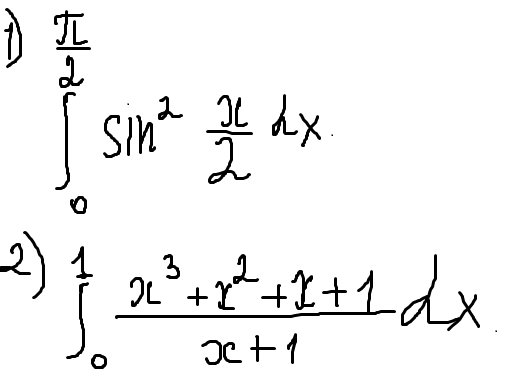
• Вычислите интегралы, преобразуя подынтегральные функции 

    question img

Ответы 2

  • в первом ответ должен получится 1)Пи-2/4 2)4/3 ну вас 1 1/3 это одно и тоже
  • Она 1/2 забыла впереди)
    • Автор:

      carlie
    • 6 лет назад
    • 0
  • Добавить свой ответ

Войти через Google

или

Забыли пароль?

У меня нет аккаунта, я хочу Зарегистрироваться

How much to ban the user?
1 hour 1 day 100 years