ПОМОГИТЕ СРОЧНО ПЛИЗЗ!! РЕШИТЬ СИСТЕМУ УРАВНЕНИЙ ВО ВКЛАДЫШЕ!!
Предмет:
АлгебраАвтор:
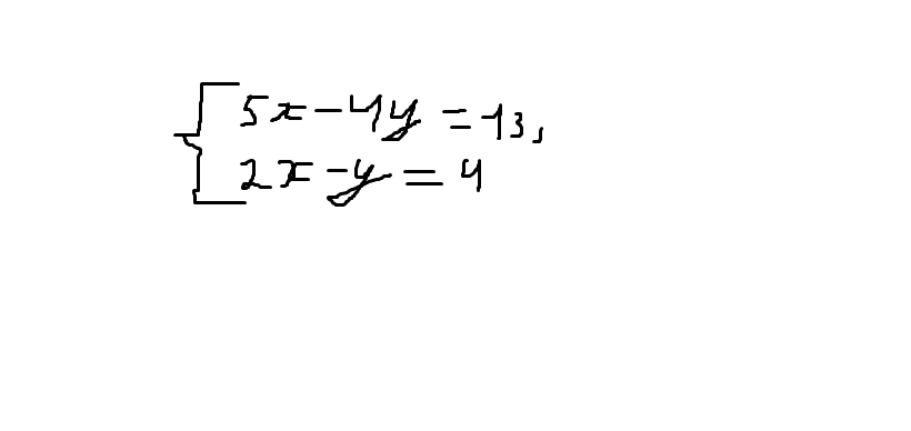
alishaleyq5x-4y=13 5x-4y=13
-
2x-y=4 *4 8x-4y=16
-3x=-3
x=1
5-4y=13
y=-2
ответ:(1;-2)
Автор:
general88Добавить свой ответ
Выполните пожалуйста деление 6119 на 211
Задача::Из двух городов, расстояние между которыми 7 400км, вылетели одновременно навстречу друг другу два самолёта и встретились через 4 часа. Скорость одного самолёта 950км\ч.Определи скорость второго самолёта,
Предмет:
МатематикаАвтор:
talanОтветов:
Смотреть
запишите глагол являющийся началом этих слов -all, -how
Предмет:
Английский языкАвтор:
maryjaneОтветов:
Смотреть
как осуществляется управление процессами жизнедеятельности в клетках прокариот у которых нет ядра