• Вычислите интегралы,преобразуя подынтегральные функции.

    question img

Ответы 1

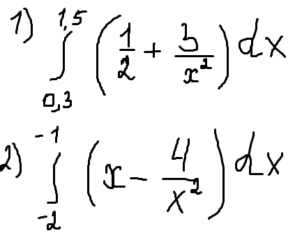
  • 1) \int\limits^{1,5}_{0,3} {( \frac{1}{2}+ \frac{3}{ x^{2} }) } \, dx = (\frac{1}{2}x- \frac{3}{x})| _{0,3} ^{1,5}= \frac{1}{2}(1,5-0,3)-3( \frac{1}{1,5}- \frac{1}{0,3})= \\ =0,6-3\cdot \frac{(1-5)}{1,5}=0,6+8=8,6        2) \int\limits^{-1}_{-2} {(x- \frac{4}{ x^{2} }) } \, dx =(\frac{ x^{2} }{2}+ \frac{4}{x})| _{-2}  ^{-1} =( \frac{(-1) ^{2} }{2}-4)-( \frac{(-2) ^{2} }{2} + \frac{4}{(-2)})= \\ = \frac{1}{2}-4-2+2=-3,5
  • Добавить свой ответ

Еще вопросы

Войти через Google

или

Забыли пароль?

У меня нет аккаунта, я хочу Зарегистрироваться

How much to ban the user?
1 hour 1 day 100 years