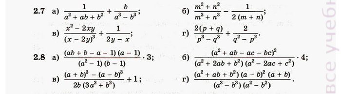
• РЕБЯТА ПОМОГИ СРОЧНО РЕШИТЬ НОМЕР 2.7 ПОЛНОСТЬЮ А НОМЕР 2.8 ПО А) Г)!БУДУ ОЧЕНЬ БЛАГОДАРНА,ПОМОГИТЕ ДАЮ 50 БАЛЛОВ

    question img

Ответы 1

  • См. решение в приложении
    answer img
    • Автор:

      zairesbmw
    • 6 лет назад
    • 0
  • Добавить свой ответ

Войти через Google

или

Забыли пароль?

У меня нет аккаунта, я хочу Зарегистрироваться

How much to ban the user?
1 hour 1 day 100 years