• Решите с объяснением пожалуйста
    Буду благодарна! 

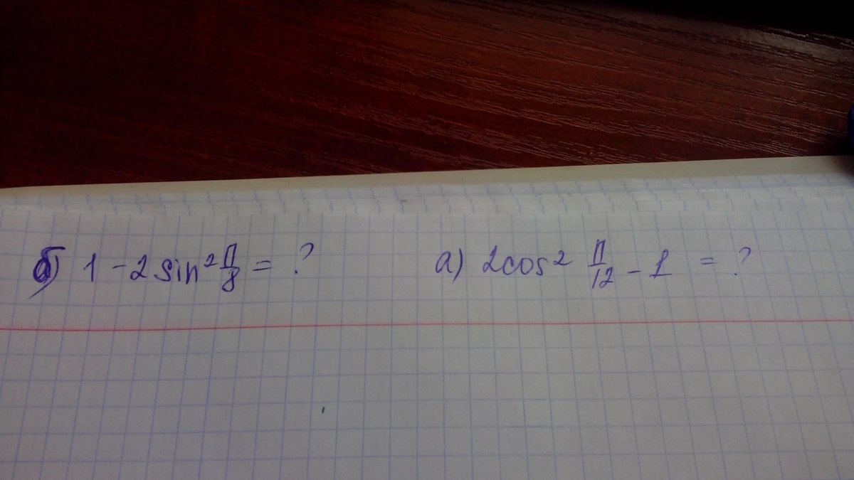
    question img

Ответы 1

  • а) cos ^{2}   \frac{ \pi }{12} -(1-cos ^{2}   \frac{ \pi }{12})=cos ^{2}   \frac{ \pi }{12}- sin ^{2}  \frac{ \pi }{12}=cos \frac{ \pi }{6} =  \frac{ \sqrt{3} }{2}  б) (1-sin ^{2}  \frac{ \pi }{8} )- sin ^{2}  \frac{ \pi }{8}=cos ^{2}  \frac{ \pi }{8} - sin ^{2}  \frac{ \pi }{8}=cos \frac{ \pi }{4} = \frac{ \sqrt{2} }{2}
    • Автор:

      mireya
    • 6 лет назад
    • 0
  • Добавить свой ответ

Войти через Google

или

Забыли пароль?

У меня нет аккаунта, я хочу Зарегистрироваться

How much to ban the user?
1 hour 1 day 100 years