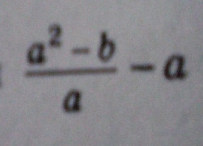
• Помогите пожалуйста, задание такое: Найдите значение выражения при а=0,2, b= -5

    question img

Ответы 1

  •  \frac{a^2-b}{a}-a= \frac{a^2-b-a^2}{a}=- \frac{b}{a} \\ - \frac{b}{a} =- \frac{-5}{0.2}= \frac{5*10}{2}=25
  • Добавить свой ответ

Еще вопросы

Войти через Google

или

Забыли пароль?

У меня нет аккаунта, я хочу Зарегистрироваться

How much to ban the user?
1 hour 1 day 100 years