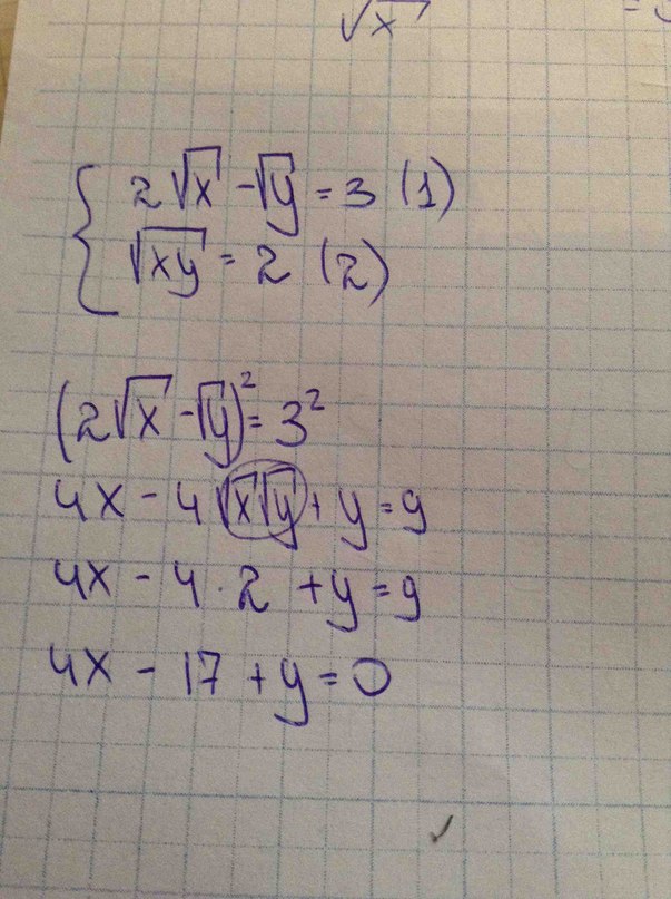
• ПРОВЕРЬТЕ решение системы и посоветуйте, как действовать дальше (дорешайте?)

    question img

Ответы 3

  • а без замены нельзя это провернуть?
    • Автор:

      bryan48
    • 6 лет назад
    • 0
  • Не могли бы вы посмотреть вот этот вопрос http://znanija.com/task/8064657 (там всё решено, просто проверить)
    • Автор:

      noemilin
    • 6 лет назад
    • 0
  • делаем замену \sqrt{x}=a \geq 0; \sqrt{y}=b \geq 0получим систему2a-b=3ab=2b=2a-3a(2a-3)=22a^2-3a-2=0D=(-3)^2-4*2*(-2)=9+16=25=5^2a_1=\frac{3-5}{2*2}<0a_2=\frac{3+5}{2*2}=2a=4;b=2*2-3=1x=a^2=2^2=4y=b^2=1^2=1(4;1)
  • Добавить свой ответ

Войти через Google

или

Забыли пароль?

У меня нет аккаунта, я хочу Зарегистрироваться

How much to ban the user?
1 hour 1 day 100 years