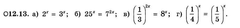
• Показательные уравнения.(Для разбирающихся!)  Ответ понятен, просто по логике x=0 (во всех уравнениях). Вопрос: Можно ли как-то это именно решить/доказать? Или решением будет: условие + ответ x=0

    question img

Ответы 1

  • a) 2^{x}=3^{x} - разделим обе части на 3^x (можно делить, т.к. делитель не равен 0)(\frac{2}{3})^{x}=1=(\frac{2}{3})^{0}x=0b) 25^{x}=7^{2x}25^{x}=49^{x} - разделим обе части на 49^x(\frac{25}{49})^{x}=1=(\frac{25}{49})^{0}x=0По аналогии:в) (\frac{1}{3})^{2x}=8^{x}(\frac{1}{9})^{x}=8^{x}(\frac{1}{9*8})^{x}=1=(\frac{1}{9*8})^{0}x=0г) (\frac{1}{4})^{x}=(\frac{1}{5})^{x}(\frac{5}{4})^{x}=1=(\frac{5}{4})^{0}x=0
    • Автор:

      leonbrock
    • 6 лет назад
    • 0
  • Добавить свой ответ

Войти через Google

или

Забыли пароль?

У меня нет аккаунта, я хочу Зарегистрироваться

How much to ban the user?
1 hour 1 day 100 years