• Найдите значения выражения:
    (P.S: Нужно подробно )

    question img

Ответы 3

  • 1-ый не верный
  • откуда такие сведения??? Решение правильно!!!!
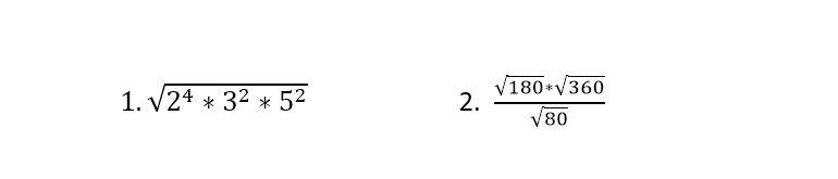
  • 1) \sqrt{2^4*3^2*5^2}=2^2*3*5=4*15=60\\
\\
2)\frac{\sqrt{180}*\sqrt{360}}{\sqrt{80}}=\frac{\sqrt{180}*\sqrt{180*2}}{\sqrt{80}}=\frac{\sqrt{180}*\sqrt{180}*\sqrt2}{\sqrt{16*5}}=\frac{180\sqrt{2}}{4\sqrt{5}}=\frac{45\sqrt2}{\sqrt5}=\\=\frac{45\sqrt2*\sqrt5}{\sqrt5*\sqrt5}=\frac{45\sqrt{10}}{5}=9\sqrt{10}
    • Автор:

      nala8di0
    • 6 лет назад
    • 0
  • Добавить свой ответ

Войти через Google

или

Забыли пароль?

У меня нет аккаунта, я хочу Зарегистрироваться

How much to ban the user?
1 hour 1 day 100 years