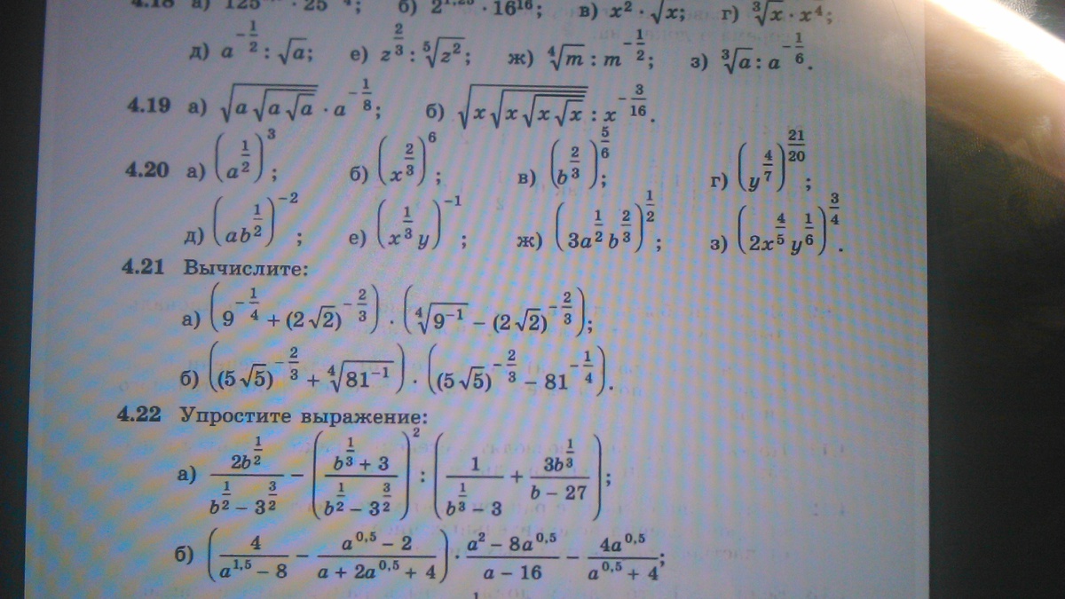
• помогите упростить выражение 4.20 и 4.21. подробно пожалуйста. фото

    question img

Ответы 1

  • спасибо большое))
    • Автор:

      baron88zq
    • 6 лет назад
    • 0
  • Добавить свой ответ

Войти через Google

или

Забыли пароль?

У меня нет аккаунта, я хочу Зарегистрироваться

How much to ban the user?
1 hour 1 day 100 years