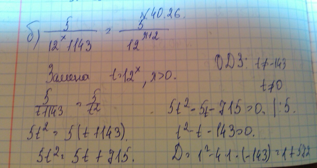
• Найдите ошибку, дискриминант 573 получается, а корень не извлекается

    question img

Ответы 1

  • 12^(x+2)=12^x * 12^2=12^x *144, тогда после замены получишь 144t, а не t²
    • Автор:

      anika75
    • 6 лет назад
    • 0
  • Добавить свой ответ

Войти через Google

или

Забыли пароль?

У меня нет аккаунта, я хочу Зарегистрироваться

How much to ban the user?
1 hour 1 day 100 years