Упростите выражение(с картинкой).СРОЧНО!!!с подробными действиями.
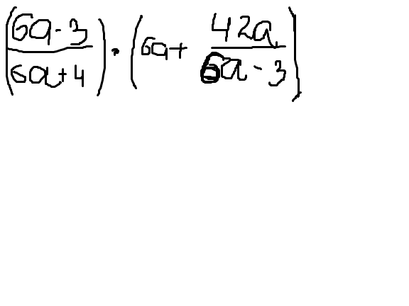
6а-3/6а+4*(6а+42а/6а-3)
1) (6а+42а/6а-3)= 36а2(степень)-18а/6а-3+42а/6а-3 = 36а2-18а+42а /6а-3= 36а2 + 24а /6а-3
2) 6а-3/6а+4*36а2 + 24а /6а-3 = (6а-3)* 6а(6а+4)/ (6а+4)* (6а-3)= (6а-3)сокращается с (6а-3), а (6а+4) сокращается с (6а+4)и ответ равен 6а.
Ответ: 6а
Автор:
spicyjrwwДобавить свой ответ
морфологический разбор слов убраны и отяжелённой
Предмет:
Русский языкАвтор:
joslynlesterОтветов:
Смотреть
На груз, движущийся вертикально вверх с ускорением a = 2 м/с2, действуют две силы: F1 = 8 Н, направленная вертикально вверх, и F2 = 3 Н, направленная вертикально вниз. Какова масса груза?
Предмет:
ФизикаАвтор:
mariahbennettОтветов:
Смотреть
какую роль играет воспитатель в жизни человека
Предмет:
ОбществознаниеАвтор:
jacoboaustinОтветов:
Смотреть