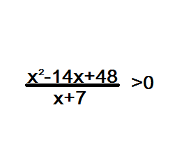
решите пример x^2-14x+48 дробная черта x+7>0
Предмет:
АлгебраАвтор:
tristonlzksРЕШЕНИЕ:
СМ.ВЛОЖЕНИЕ
==================================
Автор:
lorena53Добавить свой ответ
Помогите перевести пожалуйста They (take) a trip to Africa. Julia and her parents wanted to visit Egypt and the Red Sea. Julia's dad (buy) the tickets. They (arrive) at the airport on time. Julia (see) a lot of big and modern planes/ On board Julia (eat) tasty sandwiches and (drink) some juice. Julia (read) a book and (watch) an interesting video. In the afternoon Julia and her parents arrived at the hotel. From the window she (can) see the Red Sea and (smell) the beautiful flowers. She (want) to go sightseeing. She (take) a lot of photos of the Sahara Desert, the big camels, and the exotic flowers. For two weeks she (have) a lot of sunbathing, (swim) and (watch) the beautiful fish in the sea all day long. She (be) very happy at the seaside.
Предмет:
Английский языкАвтор:
moose50Ответов:
Смотреть
Вычислите,какой объем ацетилена (н.у) можно получить из 500 кг карбида кальция,в котором содержание примесей составляет 25%
Слово о полку Игореве. Помогите,пожалуйста ответить на вопрос)
Чем отличается повествование в "Слово о полку Игореве" от летописного?
Предмет:
ЛитератураАвтор:
gisselleqz7pОтветов:
Смотреть
переведите в единицы си(м/с)
360 км/ч
1,8 км/ч
45 км/ч
270 км/ч
0,72 км/ч
4,5 км/ч