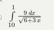
первообразная с точностью до константы равна
6sqrt(3)*sqrt(x+2)
6sqrt(3)*(sqrt(12)-sqrt(3))=6sqrt(3)(sqrt(3))=18
Автор:
maximilianbarnettДобавить свой ответ
придумать примеры на сложение сотен и построить их графические модели
Предмет:
МатематикаАвтор:
bailey86Ответов:
Смотреть
Составте предложение чтобе слово овраг было обращением
Предмет:
Русский языкАвтор:
kikiubieОтветов:
Смотреть
10 средненьких предложений на английском, на тему Культура Казахского народа. Можно посмотреть в гугле. Самое основное.
Лучшее решение даю без проблем
Предмет:
Английский языкАвтор:
mittenspt2oОтветов:
Смотреть