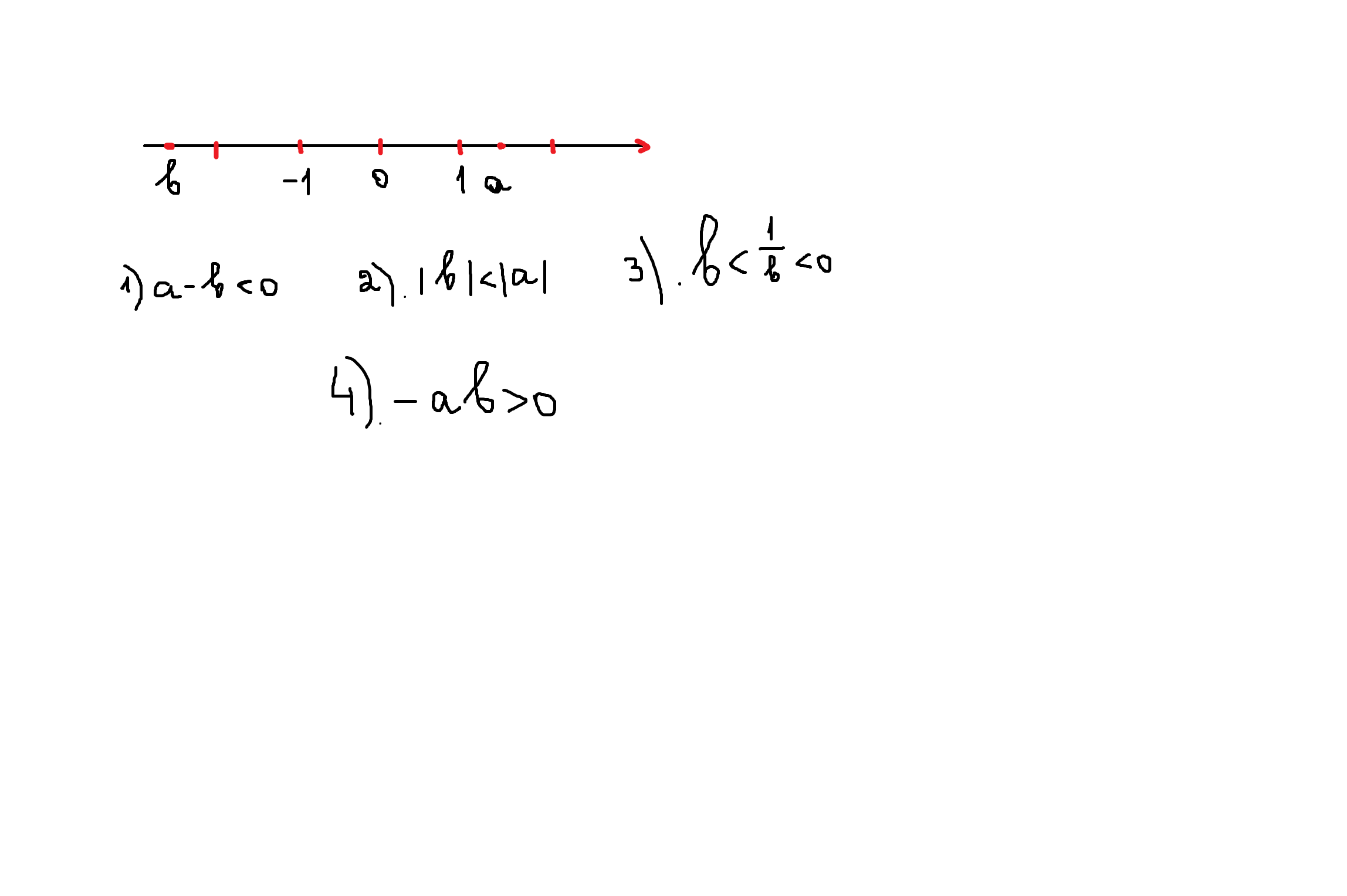
Выберите верное утверждения относительно чисел a и b , расположенных на числовой прямой.
Предмет:
АлгебраАвтор:
deannavl3lпервые 20 км автомобиль прошел со скоростью 10 м\с . Остальную часть пути 40 км он прошел за 30 мин
с какой средней скоростью двигается автомобиль на всем пути ?
Предмет:
МатематикаАвтор:
evelyn4qbmОтветов:
Смотреть
Предмет:
ЛитератураАвтор:
boomerohklОтветов:
Смотреть
1. Дана точка М(1;3;2). Найдите координаты точки М1- проекции точки М на плоскость Оxz и координаты точки М2-проекции точки М на ось Оz.
2. Даны точки Е(-1;2;3) и F(1;-1;4). Разложите вектор EF по векторам i,j,k
Предмет:
ГеометрияАвтор:
aspenprinceОтветов:
Смотреть
Составьте текст из 3--4 предложений художественного стиля
Предмет:
Русский языкАвтор:
argussanchezОтветов:
Смотреть