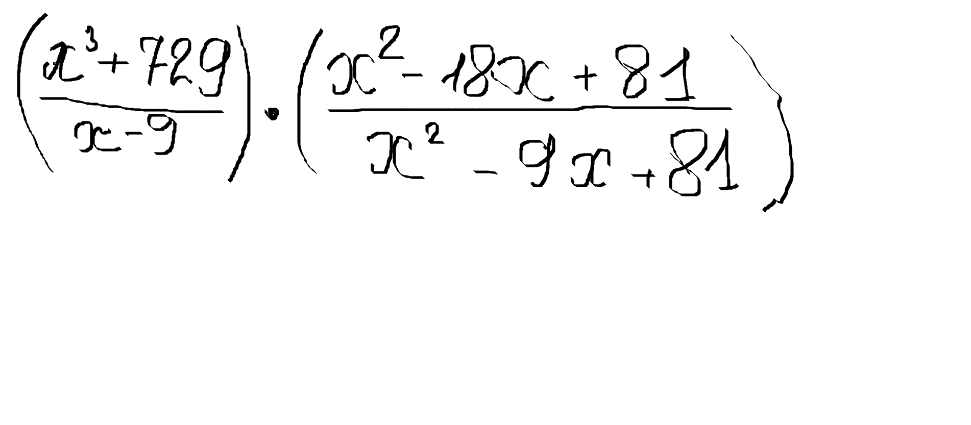
х*х во 2 степени-2х/х в 3 степени+81*х во 2 степени-х= х в 3 степени-2х /х в 3 степени+81 х во 2 степени- х = х в 3 степени/ х в 3 степени -2х-х+ 81 х во 2 степени = х-зх+8х во 2 степени= -2х+8х во второй степени.
Надеюсь, что поймешь))
Автор:
joanoliverДобавить свой ответ
когда однородное тело взвешивают в воздухе показание динамометра 9 Н, а когда взвешивают в воде, 5 Н. Чему ровна плотность тела?
В соединении калия с кислородом химическая связь
1 металлическая
2 ковалентная полярная
3 ковалентная неполярная
4 ионная
Пожалуйста помогите ;)
рассчитайте массу осадка который образуется при сливании 100 г 8,1%-ного раствора нитрата серебра и 50 г 13,5 %-ного раствора Хлорида меди(2).Выход осадка составляет 85 %
Предмет:
ХимияАвтор:
pork chopeoc6Ответов:
Смотреть
Как изменится объём цилиндра, если его высоту и диаметр его основания увеличить в 2 раза?
Предмет:
ГеометрияАвтор:
teodosiaavilaОтветов:
Смотреть