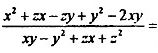
• сократите дробь

    +++++++++++++++++++++++++++

    question img

Ответы 1

  •  \frac{(x^2-2xy+y^2)+(zx-zy)}{(z^2-y^2)+(xy+zx)}= \frac{(x-y)^2+z(x-y)}{(z-y)(z+y)+x(y+z)}= \frac{(x-y)(x-y+z)}{(z+y)(z-y+x)}= \\ =\frac{(x-y)(x-y+z)}{(z+y)(x-y+z)}=\frac{x-y}{z+y}    
  • Добавить свой ответ

Войти через Google

или

Забыли пароль?

У меня нет аккаунта, я хочу Зарегистрироваться

How much to ban the user?
1 hour 1 day 100 years