• Помогите пожалуйста решить задание по алгебре очень надо

    question img

Ответы 2

  • Спасибо большое
    • Автор:

      lil mama
    • 6 лет назад
    • 0
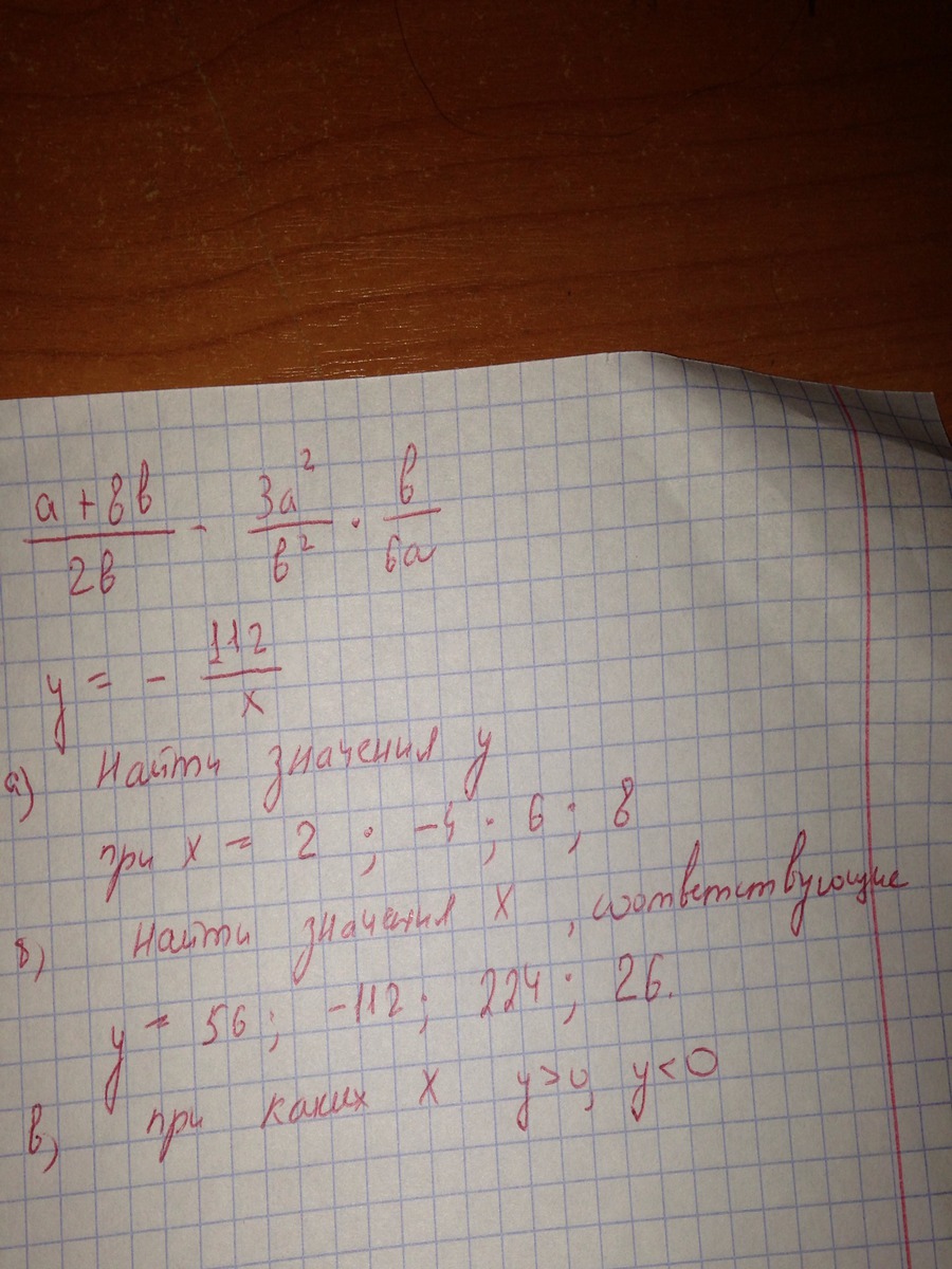
  • вроде так) последнее не знаю) \frac{a+8b}{2b} -  \frac{3a^{2} }{ b^{2} }  *  \frac{b}{6a} = 8b 1)\frac{3 a^{2} }{ b^{2} } * \frac{b}{6a} =  \frac{3 a^{2}*b }{ b^{2}*6a }  =  \frac{a}{2b} 2) \frac{a+8b}{2b} - \frac{a}{2b} = a+8b-a=
при х=2, у= -56при х=-4, у=28при х=6, у=-112/6≈-18,7при х=8, у=4если у=56, то х=-2если у=-112, то х=1если у=224, то х=-0,5если у=26, то х≈-4,3
    • Автор:

      loser4pnn
    • 6 лет назад
    • 0
  • Добавить свой ответ

Войти через Google

или

Забыли пароль?

У меня нет аккаунта, я хочу Зарегистрироваться

How much to ban the user?
1 hour 1 day 100 years