• 11 класс Логарифмы
    Вычислите:
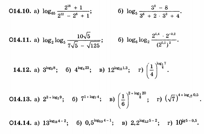
    помогите кто чем сможет, нужно решить все под (а,б)
    скажите принцип решения хотя бы, что во что переделывать там я не знаю 

    question img

Ответы 2

  • спасибо, а подскажи еще в 14.11 под а что с корнями делать?
  • квадратный корень из(а)=а в степени 1/2
  • Добавить свой ответ

Войти через Google

или

Забыли пароль?

У меня нет аккаунта, я хочу Зарегистрироваться

How much to ban the user?
1 hour 1 day 100 years