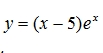
Y'=e^x(1+x-5)=e^x(x-4)
x=4
x<4 y'<0
x>4 y'>0
x=4 точка минимума
y(4)=-e^4
Автор:
eliseors5mДобавить свой ответ
как будет not apply, not have , try, do, not be в past simple form?
Предмет:
Английский языкАвтор:
seleneОтветов:
Смотреть
Помогите,пожалуйста!Очень срочно!
Попытайтесь посмотреть на промышленный переворот, произошедший в яде стран в 19 веке, с конкретно-исторических, историко-типологических и социально-философских позиций. Какие стороны этого явления представляли бы интерес на каждом из указанных уровней рассмотрения общества?
Предмет:
ОбществознаниеАвтор:
carmdenОтветов:
Смотреть
Предмет:
ФизикаАвтор:
buttercupf4ehОтветов:
Смотреть