• Помогите с решением.Очень вас прошу.У самого не выходит.

    question img

Ответы 1

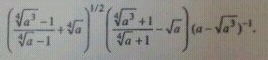
  • ( \frac{ \sqrt[4]{ a^{3} } - 1 }{  \sqrt[4]{ a } - 1} +   \sqrt[4]{ a } )^{ \frac{1}{2} } ( \frac{ \sqrt[4]{ a^{3} }+ 1 }{  \sqrt[4]{ a } +1} -   \sqrt{ a } )(a - \sqrt{ a^{3}} )^{-1} = \\ 
= ( \frac{ (\sqrt[4]{ a })^{3} - 1^{3} }{  \sqrt[4]{ a } - 1} +   \sqrt[4]{ a } )^{ \frac{1}{2} } ( \frac{ (\sqrt[4]{ a })^{3}+ 1^{3} }{  \sqrt[4]{ a } +1} -   \sqrt{ a } )* \frac{1}{a - \sqrt{ a^{3}} }  = \\ 
( \frac{ (\sqrt[4]{ a } - 1)((\sqrt[4]{ a })^{2} + \sqrt[4]{ a } + 1) }{  \sqrt[4]{ a } - 1} +   \sqrt[4]{ a } )^{ \frac{1}{2} } ( \frac{  (\sqrt[4]{ a } + 1)((\sqrt[4]{ a })^{2} - \sqrt[4]{ a } + 1) }{  \sqrt[4]{ a } +1} -   \sqrt{ a } )* \frac{1}{a - \sqrt{ a^{3}} }  = \\ 
( \frac{ \sqrt{ a } + \sqrt[4]{ a } + 1 }{1} +   \sqrt[4]{ a } )^{ \frac{1}{2} } ( \frac{  \sqrt{ a } - \sqrt[4]{ a } + 1}{ 1} -   \sqrt{ a } )* \frac{1}{a - \sqrt{ a^{3}} }  = \\ 
=(\sqrt{ a } + \sqrt[4]{ a } + 1  +   \sqrt[4]{ a } )^{ \frac{1}{2} } ( \sqrt{ a } - \sqrt[4]{ a } + 1 -\sqrt{a} )* \frac{1}{a - \sqrt{ a^{3}} }  = \\ 
=(\sqrt{ a } + 2\sqrt[4]{ a } + 1)^{ \frac{1}{2} } (1 - \sqrt[4]{ a } )* \frac{1}{a - \sqrt{ a^{3}} }  = \\ =((\sqrt[4]{ a })^{2}  + 2\sqrt[4]{ a } + 1)^{ \frac{1}{2} } *(1 - \sqrt[4]{ a } )* \frac{1}{a - \sqrt{ a^{3}} }  =  \\ 
= ((\sqrt[4]{ a } + 1)^{2})^{ \frac{1}{2}}*(1- \sqrt[4]{ a } )* \frac{1}{a- \sqrt{ a^{3}} } =  \\  
= (\sqrt[4]{ a } + 1)(1- \sqrt[4]{ a } )* \frac{1}{a- \sqrt{ a^{3}} } =  (1^{2}- (\sqrt[4]{ a })^{2})* \frac{1}{a- \sqrt{ a^{3}} } =  \\ 
=  \frac{1 -  \sqrt{a}}{a(1 - \sqrt{a} ) } =    \frac{1}{a} \\
  • Добавить свой ответ

Войти через Google

или

Забыли пароль?

У меня нет аккаунта, я хочу Зарегистрироваться

How much to ban the user?
1 hour 1 day 100 years