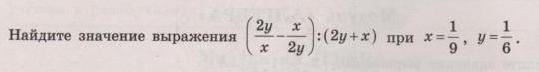
• Найдите значения выражения смммм вложения срочнО!!!!!!!!!!!!!!!!

    question img

Ответы 1

  • 1. 2y/x-x/2y=(4y^2-x^2)/2xy=((2y-x)(2y+x))/2xy2.( ((2y-x)(2y+x))/2xy)/(2y+x)=(2y-x)/2xy(2*1/6-1/9)/(2*1/9*1/6)=2/9/(1/27)=6
    • Автор:

      paxton
    • 6 лет назад
    • 0
  • Добавить свой ответ

Еще вопросы

Войти через Google

или

Забыли пароль?

У меня нет аккаунта, я хочу Зарегистрироваться

How much to ban the user?
1 hour 1 day 100 years