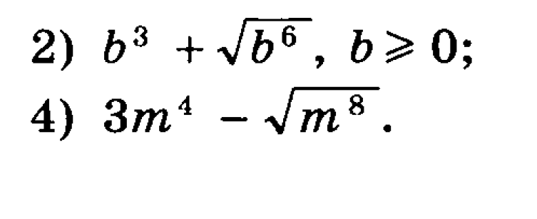
• Упростите выражения
    Или хотя бы подскажите, как это сделать

    question img

Ответы 1

  • 2)b³+b³=2b³4)3m^4-m^4=2m^4
    • Автор:

      fattyld2w
    • 6 лет назад
    • 0
  • Добавить свой ответ

Войти через Google

или

Забыли пароль?

У меня нет аккаунта, я хочу Зарегистрироваться

How much to ban the user?
1 hour 1 day 100 years