• 10 класс
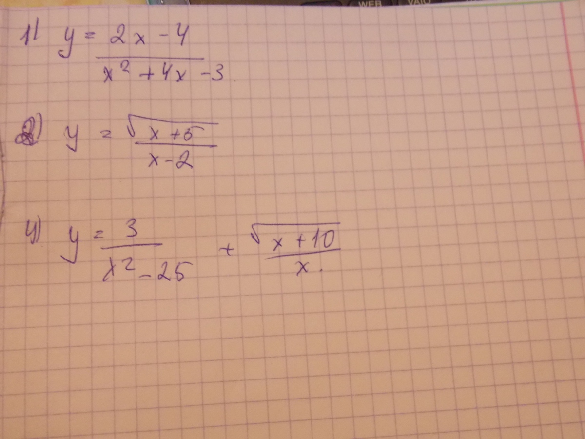
    Найти область определения функции

    question img

Ответы 2

  • 1) D(y) :x2+4x-3 не равно 0 x1=-3x2=-1=> D(y)=(-беск;-3) и (-3;-1)  и (-1;+беск.)2) Система x+5>0 и x не равен 2.D(y)= (-5;2) v (2;+беск)3) D(y) = R Совокупность из 1) x не равен = +- 52) x принадлежит (-10;0) v (0;+беск):=> x принадлежит R
    • Автор:

      delilah43
    • 6 лет назад
    • 0
  • ...................................................                                                                            
    answer img
  • Добавить свой ответ

Войти через Google

или

Забыли пароль?

У меня нет аккаунта, я хочу Зарегистрироваться

How much to ban the user?
1 hour 1 day 100 years