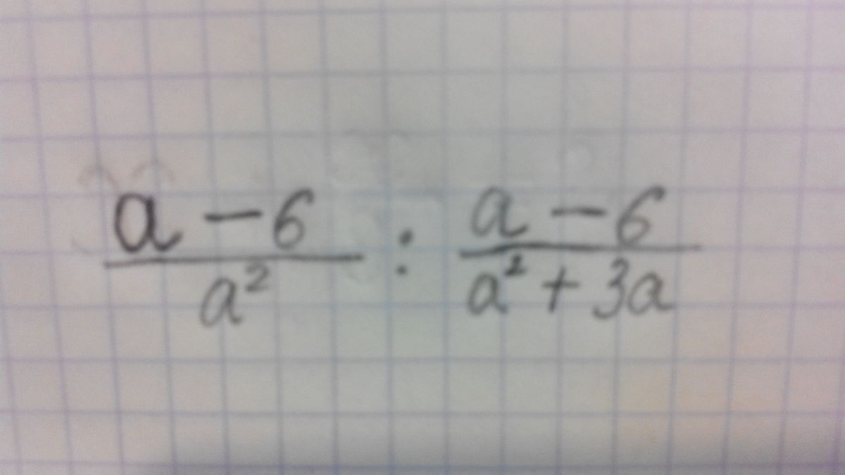
• Найдите значение выражения. при a=-2.5. нужно очень срочно. и можно пожалуйста подробно...

    question img

Ответы 4

  • это все или еще есть что то?
    • Автор:

      leónep9k
    • 6 лет назад
    • 0
  • пока все. спасибки большие. ты меня выручила
  • я же сказала всегда рада помочь
  • реши пожалуйста еще одно забание. и больше не побеспокою. если тебе не трудно
  • Добавить свой ответ

Войти через Google

или

Забыли пароль?

У меня нет аккаунта, я хочу Зарегистрироваться

How much to ban the user?
1 hour 1 day 100 years